לוגו אתר Fresh          
 
 
  אפשרות תפריט  ראשי     אפשרות תפריט  צ'אט     אפשרות תפריט  מבזקים     אפשרות תפריט  צור קשר     חץ שמאלה --לשאלות בנושאי טלוויזיות, מערכות קולנוע ביתי, הגברה וסאונד - אנא פנו לפורום אודיו וקולנוע ביתי -- www.fresh.co.il/f=103 תגיות פורום: פורום אלקטרוניקה - פורום חשמל - שאלות בנושאי אלקטרוניקה - תכנון מעגלים - מעגלים מודפסים - פיתוח אלקטרוני - תכנון PCB - בקרים למנועים - תאורת לדים - תכנון דימר - מודינג - Arduino - מיקרו בקרים - שליטה על תאורה - שלט רחוק - משדר FM - תאורת LED - פתרון שאלות בחשמל - אלקטרוניקה תקבילית חץ ימינה  

לך אחורה   לובי הפורומים > תחביבים > חשמל ואלקטרוניקה
שמור לעצמך קישור לדף זה באתרי שמירת קישורים חברתיים
תגובה
 
כלי אשכול חפש באשכול זה



  #3  
ישן 16-10-2006, 22:08
  פלוני פלוני אינו מחובר  
 
חבר מתאריך: 26.10.01
הודעות: 5,534
הסבר
בתגובה להודעה מספר 1 שנכתבה על ידי מתוק19 שמתחילה ב "מקדם הספק וגורם הספק"

כל עומס חשמל מורכב מהתנגדות טהורה ומהיגב,
השראי או קיבולי.
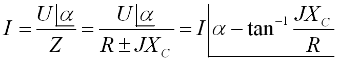
זרם ההיגב מייצר מופע בין הפאזה לזרם וניתן לחשבו עי הנוסחאה:


[התמונה הבאה מגיעה מקישור שלא מתחיל ב https ולכן לא הוטמעה בדף כדי לשמור על https תקין: http://i23.photobucket.com/albums/b387/kobi1972/zavit.gif]



הזרם בקו הוא תוצר של חיבור ווקטורי בין החלק האקטיבי של הזרם לחלק הראקטיבי.
דרך טובה להבר על הקטנת הזוית והקטנת הזרם
הוא דרך הספקים...
ההספק P הוא ההספק הנצרך דרך עומס התנגדותי טהור
ההספק Q הוא ההספק הנצרך ע"י עומס היגבי(קיבולי או השראי)
ההספק המשוכלל (הנצרך בפועל) מבוטא ע"י ההספק S
שהוא חיבורי ווקטורי בינהם
המחשה טובה לכך היא ע"י משולש ההספקים:


[התמונה הבאה מגיעה מקישור שלא מתחיל ב https ולכן לא הוטמעה בדף כדי לשמור על https תקין: http://i23.photobucket.com/albums/b387/kobi1972/m1.jpg]




מאחר והזרם הנצרך הוא חיבור(ווקטורי) בין ההספק הפעיל(P) לבין ההספק ההיגבי(Q) הרי שאם נקטין את אחד מהם(P,Q) נקטין גם את ההספק המשוכלל בינהם ואת הזרם הנצרך ע"י המעגל כולו.
מאחר וההספק ההיגבי הוא תוצר נלווה
אפשר להקטינו ללא פגיעה בהפעלת העומס.
בצד ימין רואים את משולש ההספקים לאחר הקטנת ההספק ההגבי


http://www.kobi-shadi.com מתוך האתר ללימוד חשמל
_____________________________________
חתימתך הוסרה כי היא עוברת על חוקי האתר.


נערך לאחרונה ע"י פלוני בתאריך 16-10-2006 בשעה 22:11.
תגובה ללא ציטוט תגובה עם ציטוט חזרה לפורום
תגובה

כלי אשכול חפש באשכול זה
חפש באשכול זה:

חיפוש מתקדם
מצבי תצוגה דרג אשכול זה
דרג אשכול זה:

מזער את תיבת המידע אפשרויות משלוח הודעות
אתה לא יכול לפתוח אשכולות חדשים
אתה לא יכול להגיב לאשכולות
אתה לא יכול לצרף קבצים
אתה לא יכול לערוך את ההודעות שלך

קוד vB פעיל
קוד [IMG] פעיל
קוד HTML כבוי
מעבר לפורום



כל הזמנים המוצגים בדף זה הם לפי איזור זמן GMT +2. השעה כעת היא 11:18

הדף נוצר ב 0.03 שניות עם 12 שאילתות

הפורום מבוסס על vBulletin, גירסא 3.0.6
כל הזכויות לתוכנת הפורומים שמורות © 2025 - 2000 לחברת Jelsoft Enterprises.
כל הזכויות שמורות ל Fresh.co.il ©

צור קשר | תקנון האתר